加载中,请稍等...

 魏晋南北朝书法概况 | 代表作品人物 | 相关文章

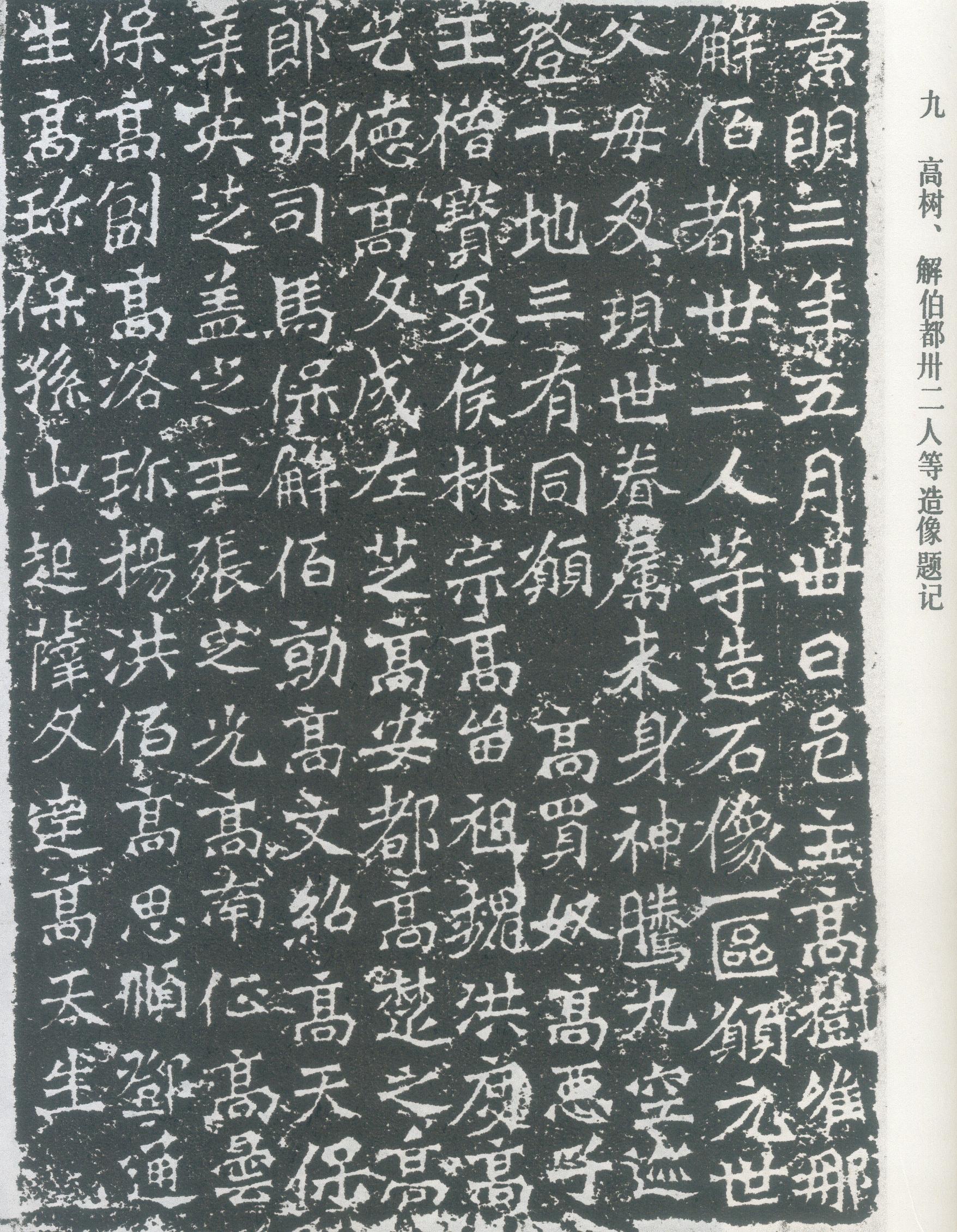
龙门二十品之高树造像题记


  龙门二十品之《高树造像题记》,全称《邑主高树、唯那解伯都卅二人等造像题记 》。正书十行,一行14字。可见一百三十九字,书法峻整劲健。景明三(502)年五月刻。在古阳洞北壁。造像龛位于古阳洞北壁右侧,与步辇郎妻一弗为亡夫造像记为邻。龛高94厘米、宽78厘米、深13厘米,主佛结跏趺坐,主佛两侧有二胁侍菩萨,均有背光。此龛完成于景明三年五月三十日。造像记位于造像龛左下方,高40厘米,宽28厘米。记载邑主高树、解伯都等三十二人的邑社造像,共同祝愿仙逝父母及见存眷属的来生。造像时间于孙秋生二百人造石像记同年同月完工,发愿文也大致相同。

【释文】景明三年五月三十日,邑主高树、唯那解伯都三十二等造石像一区,愿元世父母及现世眷属,来身神腾九空,迹登十地。三有同愿。……

  



《高树造像题记》局部



《高树造像题记》局部



《高树造像题记》局部



《高树造像题记》局部



《高树造像题记》局部