加载中,请稍等...

 人物简介 | 作品欣赏 | 拍卖精品 | 相关文章 | 留言评价

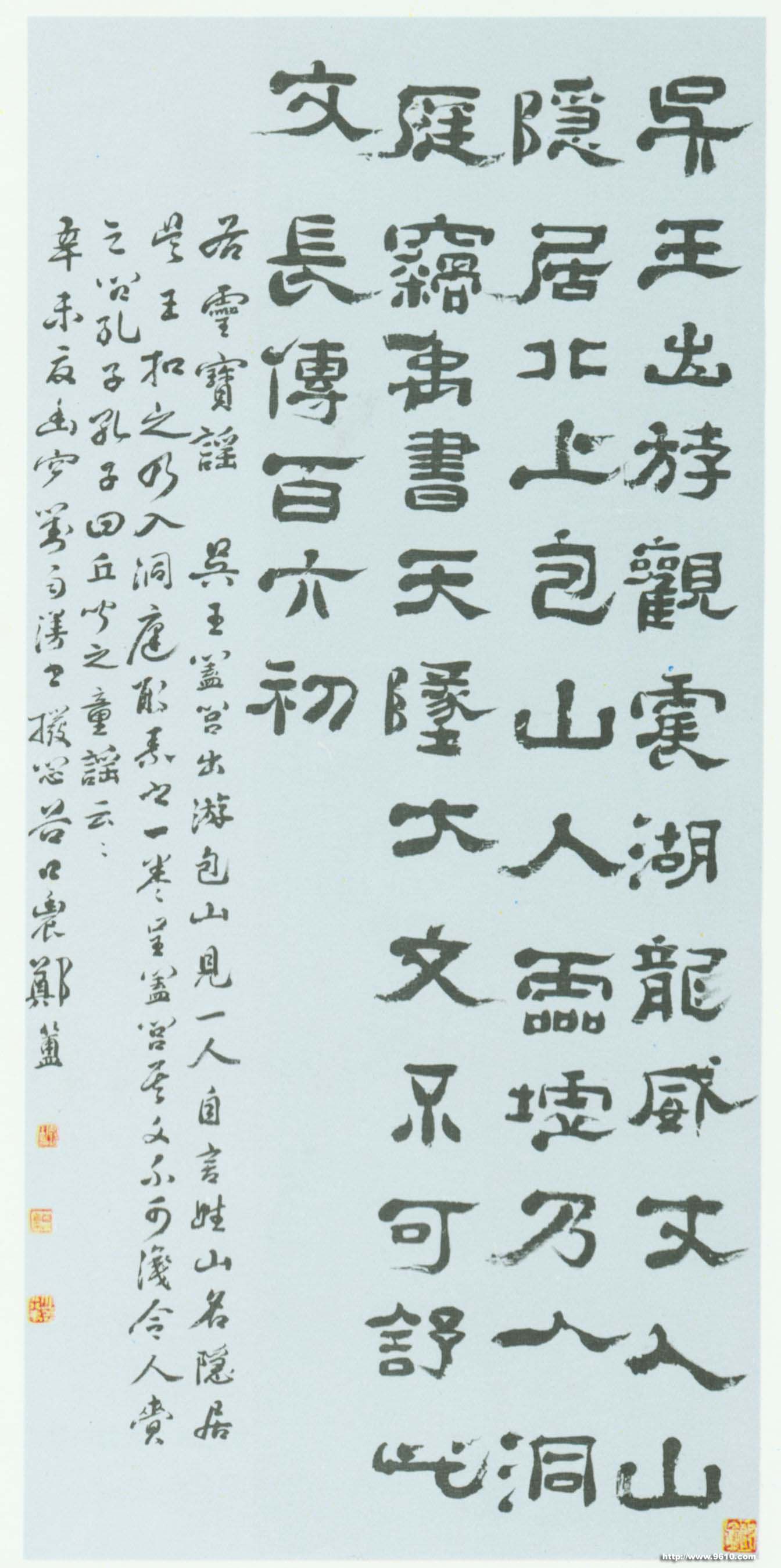
郑簠(1622-1693)


   

郑簠《灵宝谣诗轴》 纸本隶书 132.7×62.4cm 上海博物馆藏

释文:吴王出游观震湖,龙威丈人山隐居。 北上包山入灵墟。 乃入洞庭窃禹书。 天地大文不可舒。 此文长传百六初。右灵宝谣,吴王阖闾出游包山,见一人自言姓山名隐居。吴王扣之,乃入洞庭取素书一卷呈阖闾,其文不可识,令人賚之,问孔子,孔子曰:丘闻之童谣云云。辛未夏幽窗对雨漫书拨闷。谷口农郑簠。

【资料来源】《中国美术全集》书法篆刻编6-清代书法

返回上一级