加载中,请稍等...
 近现代书法概况 | 代表人物作品欣赏 | 相关文章

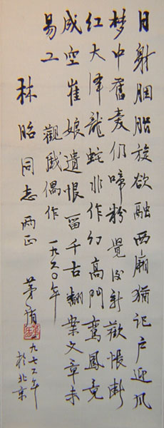
茅盾(1896-1981)


《行书轴》书于1973年12月.纸本.行书,凡6行,计73字.53×23厘米.

图来自台湾智邦艺术空间网站 五四运动人物书法展专题

  作家,政治活动家。原名沈德鸿,字雁冰。笔名有玄珠、方璧、郎损等。浙江桐乡人。1913 年考入北京大学预科。1916 年毕业后进上海商务印书馆编译所任职,从此开始他的文学生涯。1920 年任《小说月报》主编。同年12 月底,与郑振铎等发起成立文学研究会。第一次国内革命战争时期,积极从事政治活动,任国民党中央宣传部秘书,武汉的中央军事政治学校教官,《民国日报》主编。大革命失败后,东渡日本。1930 年春回到上海,加入中国左翼作家联盟。1937 年后,到武汉任中华全国文艺界抗敌协会理事,主编《文艺阵地》。1938 年冬,赴新疆任教,任新疆各族文化协会联合会主席。1940 年5 月到延安。1940 年底到重庆。后又到桂林、香港,担任《大众生活》编委。1946 年底,应邀赴苏联访问。1949 年后任中国文联副主席,中国作家协会主席,文化部长,第一至第五届全国人大代表、全国政协常务委员,第四、五届全国政协副主席等职。

    茅盾的字,是典型文人的字,用笔较细,字的中宫很紧,而笔画外延很长。显得文雅、含蓄,有节制。