手书四大颂墨迹之一、之二、之三、之四
李欣(弘一法师)手书「灵化」墨迹
李息手书「演坛」墨迹
李息手书「寿佛」墨迹
微阳(弘一法师)手书屏条墨迹
弘一法师手书佛号
在俗时临石鼓文、峄山碑墨迹
弘一法师在俗时临汉碑及天发神谶碑墨迹
弘一法师手书灵峄偈语及佛号
弘一法师将赴新城掩关书「珍重」二字赠夏丐尊
弘一法师写赠书家邓散木横幅及白马湖放生记墨迹 弘一法师手书「法常首座辞世词」墨迹
弘一法师手书篆书横幅及李义山诗句墨迹
弘一法师手书「以戒为师」、「佛光」等墨迹
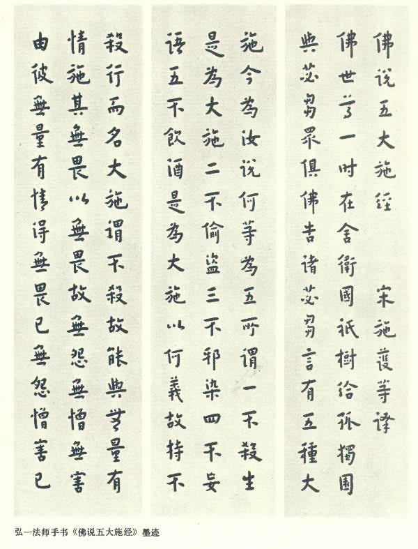
弘一法师手书《佛说五大施经》墨迹
弘一法师手书《普贤行愿品偈》墨迹
弘一法师手书李筱楼所撰联句墨迹
弘一法师篆书“佛灭度后 以戒为师”墨迹
弘一法师手书佛号“无住斋”
弘一法师手书自撰发愿弘护四分律教长联墨迹
弘一法师手书灵峰大师偈语墨迹
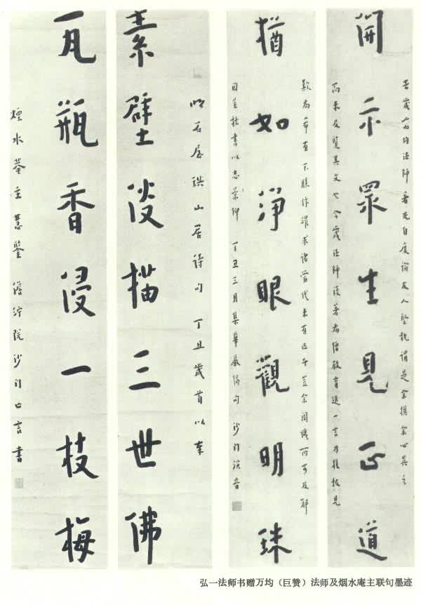
弘一法师书赠万均(巨赞)法师及烟水庵主联句墨迹
弘一法师手书马冬涵《三异图》题词及华严经偈墨迹
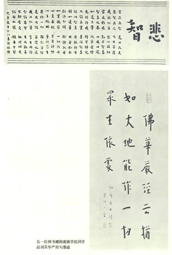
弘一法师书赠闽南佛学院同学勗词「悲智」及华严经句墨迹
弘一法师篆书「香光庄严」横幅及华严经集联墨迹
弘一法师手书华严经句分赠了智、法雯二法师墨迹
弘一法师赠了智、王伯祥、丰德、转应诸友书法墨迹
弘一法师手书湡益大师警训及赠妙灯、休磐二法师墨迹
弘一法师书行事钞警中赠圆拙法师及赠李芳远篆书小联墨迹
弘一法师手书《般若波罗蜜多心经》墨迹
返回上一级